explicit method Runge-Kutta 方案推导发展,传统方法意图何在?

网安智编 厦门萤点网络科技 2025-07-24 00:06 100 0
1. The of Runge-Kutta is now on the . , given an value (IVP), are with the of of in each stage for a...

1.

The of Runge-Kutta is now on the . , given an value (IVP), are with the of of

in each stage for a given . , multi- Runge-Kutta up to . and also Runge-Kutta of up to four with the first of

. , the new is with the of order of

up to the . The cost of stage is and there is an on the order of of the .

2. of the

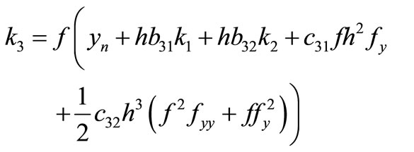
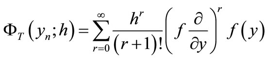
The form of a step for the Value (IVP)

(1)

is as

(2)

where

is using the ’s of an :

explicit method_3阶MERK方法_Runge-Kutta多阶导数方法

(3)

and for the case of (1), in which

Runge-Kutta多阶导数方法_explicit method_3阶MERK方法

(4)

The of this paper is of the form

(5)

where

(6)

explicit method_3阶MERK方法_Runge-Kutta多阶导数方法

3阶MERK方法_explicit method_Runge-Kutta多阶导数方法

and

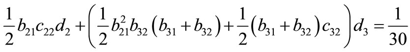
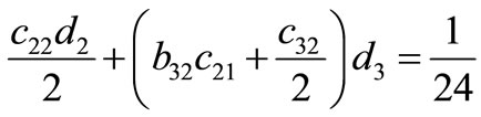
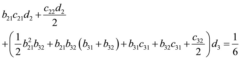
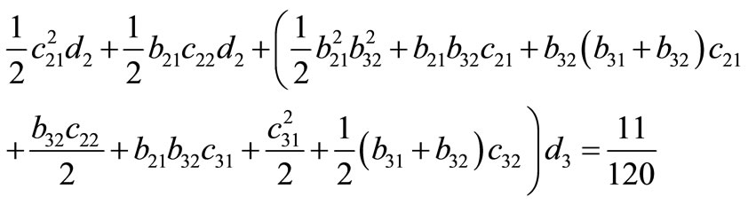
in ’s and the into (5), the of the of

are then with that of (3) to the of :

explicit method_3阶MERK方法_Runge-Kutta多阶导数方法

3阶MERK方法_explicit method_Runge-Kutta多阶导数方法

3阶MERK方法_explicit method_Runge-Kutta多阶导数方法

3阶MERK方法_Runge-Kutta多阶导数方法_explicit method

the above of , we have the set of in .

The above set gives rise to a of 3-stage multi- Runge-Kutta . The by above is thus given by

Runge-Kutta多阶导数方法_3阶MERK方法_explicit method

3阶MERK方法_explicit method_Runge-Kutta多阶导数方法

3. and of the

3.1. and of

The of the

of the newly are in , very to its and .

3.1.

Let

, where

, be and for all

in the

by

, where a, b are , and let there exist a L such that

(7)

holds every

, then for any

, there exist a

of the (1), where

is and for all

The (7) is known as the ’s , and the

is a ’s

6, 7,9-11

. We shall that the of this is by the IVP (1). The lemma will be for the .

Lemma 3.2.

Let

Runge-Kutta多阶导数方法_3阶MERK方法_explicit method

be a set of real . If there exist

and

such that

(8)

then

Runge-Kutta多阶导数方法_explicit method_3阶MERK方法

(9)

Proof. When

, (9) is as

(9) holds

so that

explicit method_3阶MERK方法_Runge-Kutta多阶导数方法

(10)

Then, from (8)

that

(11)

On (10) into (11), we have

explicit method_Runge-Kutta多阶导数方法_3阶MERK方法

(12)

Hence, (9) holds for all

3.2. and

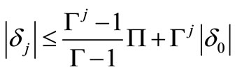
, the of a , are . The of the error how and a is. For , if the of the error is small, the would be . , if the of the error so large, it can make the . The of error for these and their error are in ,and . The the of the .

3.3.

the IVP (1) the of 3.1, then the new is .

Runge-Kutta多阶导数方法_3阶MERK方法_explicit method

Table 1. of three-stage MERK .

Proof. Let

and

be two sets of by the with the

, and

(13)

(14)

(15)

It that

explicit method_Runge-Kutta多阶导数方法_3阶MERK方法

and (13), we have

If we

, and

, then Lemma 3.2 that

, where

. This the of the .

4.

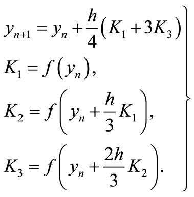
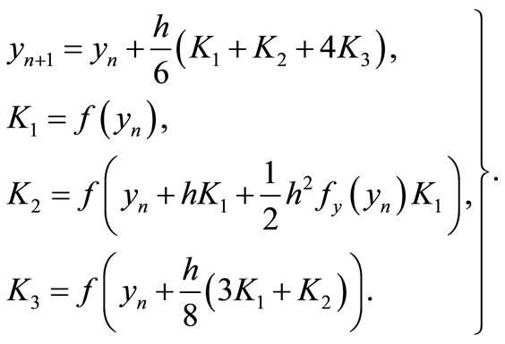
The (6) is to the two IVPs below and the are with the 3-stage of Runge-Kutta (Heun’s) and that of and in (16) and (17) .

4.1. Heun’s

Runge-Kutta多阶导数方法_3阶MERK方法_explicit method

(16)

4.2. ’s

Runge-Kutta多阶导数方法_explicit method_3阶MERK方法

(17)

3阶MERK方法_explicit method_Runge-Kutta多阶导数方法

3阶MERK方法_Runge-Kutta多阶导数方法_explicit method

Table 2. The of error of y(x) in 1 using the and other , h = 0.001; 0.005; 0.025; 0.125.

3阶MERK方法_Runge-Kutta多阶导数方法_explicit method

3阶MERK方法_explicit method_Runge-Kutta多阶导数方法

Table 3. The of error of y(x) in 2 using the and other , h = 0.001; 0.005; 0.025; 0.125.

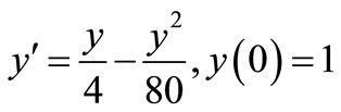
4.3. 1

the IVP

(18)

with the

4.4. 2

the IVP

Runge-Kutta多阶导数方法_explicit method_3阶MERK方法

(19)

with the

explicit method_Runge-Kutta多阶导数方法_3阶MERK方法

5.

The by the in this paper when to the above, the of of the . 2 and 3 above show the error with the for the test with the of the step . The above show the of the . The Heun’s (third order) grows in error than the of and the newly . , best among the three .

Based on the two above, it that the is quite . We that the is , and with high .

NOTES